Zëdhënësja për antikorrupsionin në Partinë Demokratike, Genta Vangjeli ka mbajtur ditën e sotme një deklarata para mediave. Vangjeli gjatë fjalës së saj ka paraqitur dokumente dhe foto që sipas saj, dëshmojnë se si korrupsioni transnacional ka patur si qëllim asgjësimin e PD dhe mënjanimin me çdo kusht të Sali Berishës.
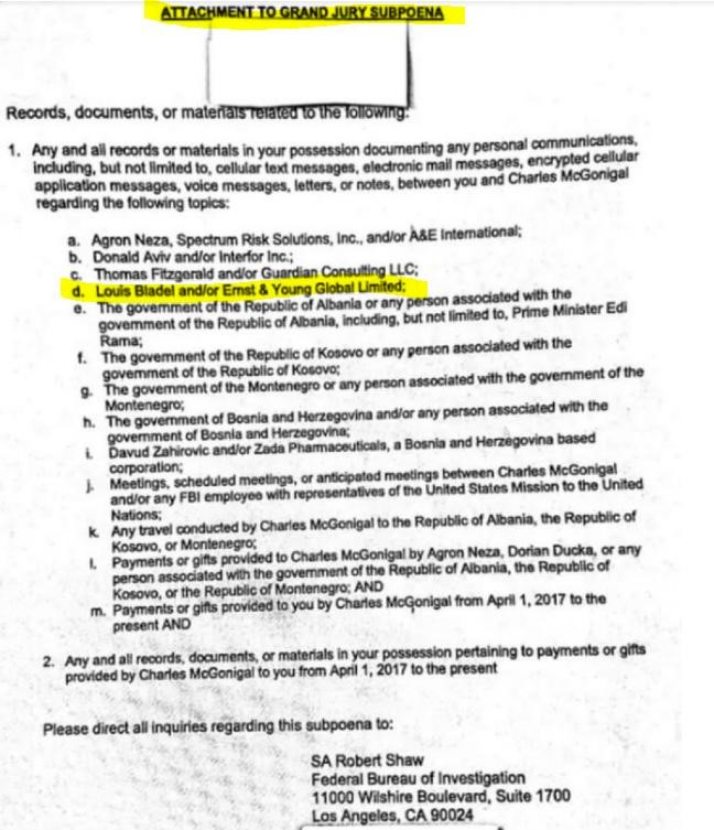
Ajo më tej tha se Bladel kishte mbajtur të njëjtin post në FBI si McGonigal dhe pas largimit nga detyra e lartë shtetërore u emërua Drejtues Ekzekutiv “Ernst & Young Global Limited”. Sipas saj, në dokumentin e Jurisë së Gjykatës së Neë Yorkut, të Shtatorit 2022, në pikën d, kërkohej nga Prokuroria amerikane “që të marrë informacion për z.Louis Bladel dhe “Ernst & Young Global Limited”.
Vangjeli më tej shtoi se pas dënimit të McGonigal, Edi Rama u ndje edhe më i motivuar për të vijuar bashkëpunimin me miqtë e ish shefit të zbulimit. Ajo tha se në Shkurt 2024, Ergys Verdho asokohe administrator i KESH, njoftoi shpalljen fitues të Ernst & Young Albania shpk për shërbimin e këshillimit financiar për financimin e projektit ndërtimi i HEC Skavica, fondi 450 000 euro, kohëzgjatja 6 muaj.
Deklarata e plotë e Vangjelit:
Në vitin 2018 Edi Rama ka përdorur 2 VKM të sigluara “Sekret”, njëra prej të cilave me nr.308, e datës 23 maj, “Për autorizimin e Ministrisë së Brendshme dhe MFE për lidhjen e kontratës me kompaninë “ERNST & YOUNG” për të ofruar konsulencë në zbatim të planit të veprimit “Për luftën kundër krimit ekonomiko-financiar dhe korrupsionit “në gjurmët e parasë” në vlerën 375 mijë euro.
Megjithëse KLSh në raportin auditues të vitit 2018 lidhur me zbatimin e buxhetit të shtetit ka gjetur shkelje për përdorimin e fondeve rezervë, mangësi në dokumentacion, mungesë relacionesh shpjeguese, dhe preventiva të shërbimeve në kundërshtim me ligjin organik të buxhetit dhe udhëzimit standard të zbatimit të tij, “ERNST & YOUNG” në 07 maj 2019 përfiton pagesën prej 375 mijë euro nga MF për shërbimin e konsulencës. Gjatë ceremonisë të mbajtur në KM në Maj 2018 për nënshkrimin e kësaj kontrate, përfaqësuesi i Ernst & Young z. Louis Bladel tha:
“Unë jam Louis Bladel dhe jam përfaqësues i Ernst & Young në SHBA. Përpara se të isha këtu, kam patur pozicione drejtuese në FBI. U bashkova me Ernst & Young me dëshirën time për t’u marrë me vendet dhe korporatat në luftën kundër korrupsionit si një çështje mjaft e ndjeshme. Në Ernst & Young unë punoj në shërbimet kundër mashtrimit. Kur u kontaktuam nga z Rama sollëm një ekip të përbashkët nga Gjermania për të punuar me shqiptarët në këtë Task-Forcë në luftën kundër korrupsionit”…
Sjellim në vemendjen tuaj, se emri i Louis Bladel, doli në akt-akuzën amerikane ndaj ish shefit të zbulimit të FBI-së New York, Charles McGonigal, i cili pranoi fajësinë se hetoi në kundershtim me ligjin e një partie shqiptare që nuk ishte e kryeministrit Rama. Bladel kishte mbajtur të njëjtin post në FBI si McGonigal dhe pas largimit nga detyra e lartë shtetërore u emërua Drejtues Ekzekutiv “Ernst & Young Global Limited”. Në dokumentin e Jurisë së Gjykatës së Neë Yorkut, të Shtatorit 2022, në pikën d, kërkohej nga Prokuroria amerikane “që të marrë informacion për z.Louis Bladel dhe “Ernst & Young Global Limited”.
Pas dënimit të McGonigal, Edi Rama u ndje edhe më i motivuar për të vijuar bashkëpunimin me miqtë e ish shefit të zbulimit. Kështu, në Shkurt 2024, Ergys Verdho asokohe administrator i KESH, njofton shpalljen fitues të Ernst & Young Albania shpk për shërbimin e këshillimit financiar për financimin e projektit ndërtimi i HEC Skavica, fondi 450 000 euro, kohëzgjatja 6 muaj. Ernst & Young Albania shpk me origjinë të kapitalit 99% kompaninë qipriote Ernst & Young Southeast Europe Public Limited dhe 1% kompaninë serbe Ernst & Young Beograd.
Por, kjo kompani është pjesë e rrjetit global të Ernst & Young Global Limited, kompania kontraktore e konsulencës sipas VKM nr.308, datë 23 maj 2018. Edi Rama nuk ka harruar planin e punës së diskutuar në darkën sekrete me Charles McGonigal, Agron Nezën dhe Louis Bladel në Uashington DC më 4 Mars (konfirmuar nga eksperti kanadez Stephen Mclntyre). Vetëm pak javë më vonë, Bladel erdhi në Shqipëri për të nënshkruar kontratën e bashkëpunimit me qeverinë shqiptare. Këto janë prova të reja për marifete të vjetra, dhe dëshmojnë se si korrupsioni transnacional ka patur si qëllim asgjësimin e Partisë Demokratike dhe mënjanimin me çdo kusht të liderit historik të saj, Prof. Dr. Sali Berisha. Fakti se kryetari i PD është në arrest politik pa asnjë provë dhe fakt prej 180 ditësh është shembull ekselent i kësaj.





















Discussion about this post